Skip to content

本文由 简悦 SimpRead 转码, 原文地址 mp.weixin.qq.com

问题描述

原问题标题 “React 和 Vue 的 diff 时间复杂度从 O(n^3) 优化到 O(n) ,那么 O(n^3) 和 O(n) 是如何计算出来的?”

  1. 这里的 n 指的是页面的 VDOM 节点数,这个不太严谨。如果更严谨一点,我们应该应该假设 变化之前的节点数为 m,变化之后的节点数为 n。

  2. React 和 Vue 做优化的前提是 “放弃了最优解 “,本质上是一种权衡,有利有弊。

倘若这个算法用到别的行业,比如医药行业,肯定是不行的,为什么?

React 和 Vue 做的假设是:

  • 检测 VDOM 的变化只发生在同一层

  • 检测 VDOM 的变化依赖于用户指定的 key

如果变化发生在不同层或者同样的元素用户指定了不同的 key 或者不同元素用户指定同样的 key, React 和 Vue 都不会检测到,就会发生莫名其妙的问题。

但是 React 认为, 前端碰到上面的第一种情况概率很小,第二种情况又可以通过提示用户,让用户去解决,因此 这个取舍是值得的。没有牺牲空间复杂度,却换来了在大多数情况下时间上的巨大提升。明智的选择!

基本概念

首先大家要有个基本概念。

其实这是一个典型的最小编辑距离的问题,相关算法有很多,比如 Git 中 ,提交之前会进行一次对象的 diff 操作,就是用的这个最小距离编辑算法。

leetcode72: 编程距离 有原题目,

https://leetcode.com/problems/edit-distance/

如果想明白这个 O(n^3), 可以先看下这个。

对于树,我们也是一样的,我们定义三种操作,用来将一棵树转化为另外一棵树:

  • 删除:删除一个节点,将它的 children 交给它的父节点

  • 插入:在 children 中 插入一个节点

  • 修改:修改节点的值

事实上,从一棵树转化为另外一棵树,我们有很多方式,我们要找到最少的。

直观的方式是用动态规划,通过这种记忆化搜索减少时间复杂度。

算法

由于树是一种递归的数据结构,因此最简单的树的比较算法是递归处理。

详细描述这个算法可以写一篇很长的论文,这里不赘述。大家想看代码的,这里有一份

https://github.com/DatabaseGroup/tree-similarity/tree/develop

我希望没有吓到你。

确切地说,树的最小距离编辑算法的时间复杂度是O(n^2m(1+logmn)), 我们假设m 与 n 同阶, 就会变成 O(n^3)

关于 O(n) 怎么计算出来的

React 将 Virtual DOM 树转换为 actual DOM 树的最小操作的过程称为调和, diff 算法便是调和的结果,React 通过制定大胆的策略,将 O(n^3) 的时间复杂度转换成 O(n)。

1. diff 策略

下面是 React diff 算法的 3 个策略:

  • 策略一:Web UI 中 DOM 节点跨层级的移动操作特别少。可以忽略不计。

  • 策略二:拥有相同类的两个组件将会生成相似的树形结构,拥有不同类的两个组件将会生成不同的树形结构。

  • 策略三:对于同一层级的一组子节点,它们可以通过唯一 id 进行区分。

基于以上三个策略,React 分别对 tree diff、component diff 以及 element diff 进行算法优化。

2. tree diff

对于策略一,React 对树的算法进行了简单明了的优化,即对树进行分层比较,两颗树只会对同一层级的节点进行比较。

既然 DOM 节点跨层级的移动,可以少到忽略不计,针对这种现象,React 通过 updateDepth 对 Virtual DOM 树进行层级控制,只对相同层级的 DOM 节点进行比较,即同一父节点下的所有子节点,当发现该节点已经不存在时,则该节点及其子节点会被完全删除掉,不会用于进一步的比较。这样只需要对树进行一次遍历,便能完成整个 DOM 树的比较。

// updateChildren 源码updateChildren: function (nextNestedChildrenElements, transaction, context) {    updateDepth ++;    var errorThrown = true;    try {        this._updateChildren(nextNestedChildrenElements, transaction, context);        errorThrown = false;    } finally {        updateDepth --;        if (!updateDepth) {            if (errorThrown) {                clearQueue();            } else {                processQueue();            }        }    }}

那么就会有这样的问题:

如果出现了 DOM 节点跨层级的移动操作,diff 会有怎样的表现喃?

我们举个例子看一下:

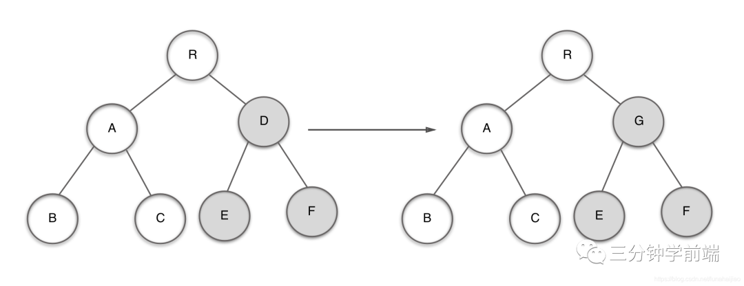
如下图 2-1,A 节点(包括其子节点)整个需要跨层级移动到 D 节点下,React 会如何操作喃?图 2-1 DOM 层级变换

由于 React 只会简单的考虑同层级节点的位置变换,对于不同层级的节点,只有创建和删除操作。当根节点 R 发现子节点中 A 消失了,就会直接销毁 A;当 D 节点发现多了一个子节点 A,就会创建新的 A 子节点(包括其子节点)。执行的操作为:

create A —> create B —> create C —> delete A

所以。当出现节点跨级移动时,并不会像想象中的那样执行移动操作,而是以 A 为根节点的整个树被整个重新创建,这是影响 React 性能的操作,所以 官方建议不要进行 DOM 节点跨层级的操作

在开发组件中,保持稳定的 DOM 结构有助于性能的提升。例如,可以通过 CSS 隐藏或显示节点,而不是真正的移除或添加 DOM 节点。

3. component diff

React 是基于组件构建应用的,对于组件间的比较所采取的策略也是非常简洁、高效的。

  • 如果是同一类型的组件,按照原策略继续比较 Virtual DOM 树即可

  • 如果不是,则将该组件判断为 dirty component,从而替换整个组件下的所有子节点

  • 对于同一类型下的组件,有可能其 Virtual DOM 没有任何变化,如果能确切知道这一点,那么就可以节省大量的 diff 算法时间。因此, React 允许用户通过 shouldComponentUpdate()来判断该组件是否需要大量 diff 算法分析。

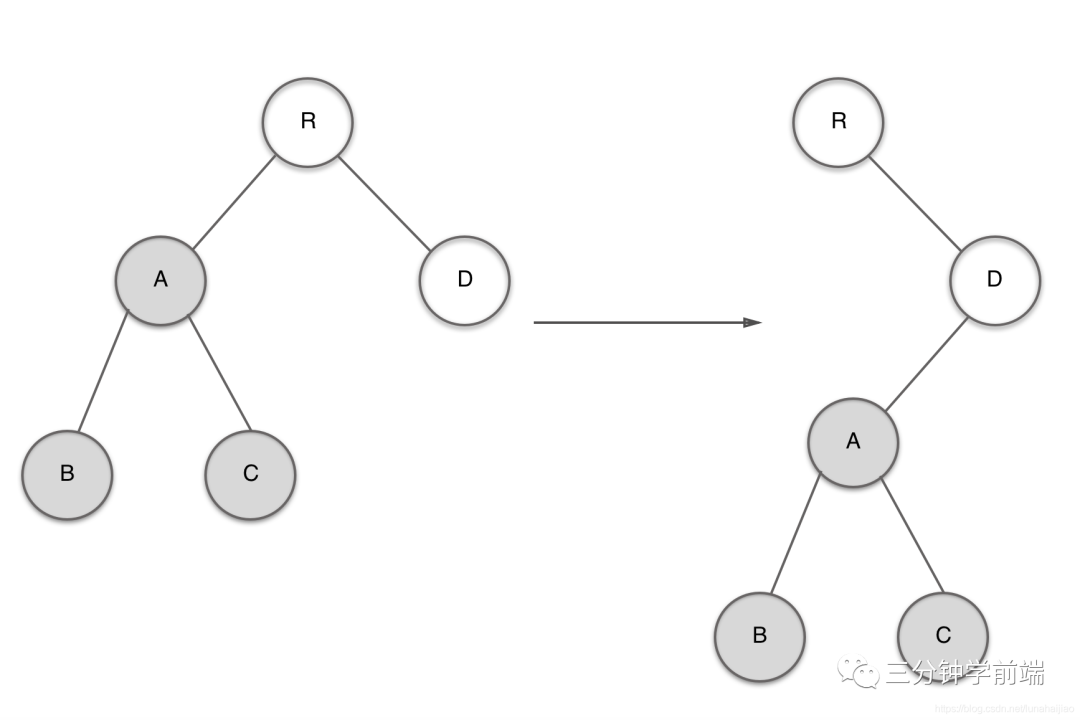
图 3-1 component diff

如上图 3-1,当 D 组件变成 G 时,即使这两个组件结构相似,但一旦 React 判断 D 和 G 是两个不同类型的组件时,就不会再比较这两个组件的结构,直接进行删除组件 D, 重新创建组件 G 及其子组件。虽然这两个组件是不同类型单结构类似,diff 算法会影响性能,正如 React 官方博客所言:

不同类型的组件很少存在相似 DOM 树的情况,因此,这种极端因素很难在实际开发过程中造成重大影响。

4. element diff

当节点处于同一层级时,diff 提供三种节点操作:

  • INSERT_MARKUP(插入):如果新的组件类型不在旧集合里,即全新的节点,需要对新节点执行插入操作。

  • MOVE_EXISTING (移动):旧集合中有新组件类型,且 element 是可更新的类型,generatorComponentChildren 已调用 receiveComponent,这种情况下 prevChild=nextChild,就需要做移动操作,可以复用以前的 DOM 节点。

  • REMOVE_NODE  (删除):旧组件类型,在新集合里也有,但对应的 elememt 不同则不能直接复用和更新,需要执行删除操作,或者旧组件不在新集合里的,也需要执行删除操作。

// INSERT_MARKUPfunction makeInsertMarkup(markup, afterNode, toIndex) {    return {        type: ReactMultiChildUpdateTypes.INSERT_MARKUP,        content: markup,        fromIndex: null,        fromNode: null,        toIndex: toIndex,        afterNode: afterNode    }}// MOVE_EXISTINGfunction makeMove(child, afterNode, toIndex) {    return {        type: ReactMultiChildUpdateTypes.MOVE_EXISTING,        content: null,        fromIndex: child._mountIndex,        fromNode: ReactReconciler.getNativeNode(child),        toIndex: toIndex,        afterNode: afterNode    }}// REMOVE_NODEfunction makeRemove(child, node) {    return {        type: ReactMultiChildUpdateTypes.REMOVE_NODE,        content: null,        fromIndex: child._mountIndex,        fromNode: node,        toIndex: null,        afterNode: null    }}

下面由三个例子加深我们的理解

例 1:旧集合 A、B、C、D 四个节点,更新后的新集合为 B、A、D、C 节点,对新旧集合进行 diff 算法差异化对比,发现 B!=A,则创建并插入 B 节点到新集合,并删除旧集合中 A,以此类推,创建 A、D、C,删除 B、C、D。如下图 4-1 图 4-1 节点 diff

React 发现这样操作非常繁琐冗余,因为这些集合里含有相同的节点,只是节点位置发生了变化而已,却发生了繁琐的删除、创建操作,实际上只需要对这些节点进行简单的位置移动即可。

针对这一现象,React 提出了优化策略:

允许开发者对同一层级的同组子节点,添加唯一 key 进行区分,虽然只是小小的改动,但性能上却发生了翻天覆地的变化。

例 2:看下图

进行对新旧集合的 diff 差异化对比,通过 key 发现新旧集合中包含的节点是一样的,所以可以通过简单的位置移动就可以更新为新集合,React 给出的 diff 结果为:B、D 不做任何操作,A、C 移动即可。

图 4-2 对节点进行 diff 差异化对比

步骤:

  • 初始化,lastIndex = 0, nextIndex = 0

  • 从新集合取出节点 B,发现旧集合中也有节点 B,并且 B.__mountIndex = 1,lastIndex = 0,不满足 B._mountIndex <lastIndex,则不对 B 操作,并且更新 lastIndex= Math.max(prevChild._mountIndex, lastIndex),并将 B 的位置更新为新集合中的位置 prevChild._mountIndex = nextIndex,即 B._mountIndex = 0, nextIndex ++ 进入下一步

  • 从新集合取出节点 A,发现旧集合中也有节点 A,并且 A.__mountIndex = 0,lastIndex = 1,满足 A._mountIndex <lastIndex,则对 A 进行移动操作,enqueue( updates, makeMove(prevChild, lastPlacedNode, nextIndex)) 并且更新 lastIndex= Math.max(prevChild._mountIndex, lastIndex),并将 A 的位置更新为新集合中的位置 prevChild._mountIndex = nextIndex,即 A._mountIndex = 1, nextIndex ++ 进入下一步

  • 依次进行操作,可以根据下面代码执行的步骤实现,这里不再赘述

操作为:

updateChildren1: function(prevChildren, nextChildren) { // 旧集合 新集合     var updates = null    var name    // lastIndex 是 prevChildren 中最后一个索引,nextIndex 是 nextChildren 中每个节点的索引    var lastIndex = 0    var nextIndex = 0        for (name in nextChildren) { // 对新集合的节点进行循环遍历        if (!nextChildren.hasOwnProperty(name)) {             continue        }        var prevChild = prevChildren && prevChildren[name]         var nextChild = nextChildren[name]        // 通过唯一的key判断新旧集合是否有相同的节点        if (prevChild === nextChild) {  // 新旧集合有相同的节点            // 如果子节点的 index 小于 lastIndex 则移动该节点            if (prevChild._mountIndex < lastIndex) {                // 获取移动节点                let moveNode = makeMove(prevChild, lastPlacedNode, nextIndex)                // 存入差异队列                updates = enqueue(                    updates,                    moveNode                )            } // 这是一种顺序优化手段,lastIndex 一直在更新表示访问过的节点一直在prevChildren最大的位置,如果当前访问的节点比 lastIndex 大,说明当前访问的节点在旧结合中就比上一个节点靠后,则该节点不会影响其它节点的位置,因此不插入差异队列,不要执行移动操作,只有访问的节点比 lastIndex 小时,才需要进行移动操作。             // 更新lastIndex            lastIndex= Math.max(prevChild._mountIndex, lastIndex)            // 将prevChild的位置更新为在新集合中的位置            prevChild._mountIndex = nextIndex        } else {            if (prevChild) {// 如果没有相同节点且prevChild存在                // 更新lastIndex                lastIndex = Math.max(prevChild._mountIndex, lastIndex)            }        }        // 进入下一个节点的判断        nextIndex ++    }    // 如果存在更新,则处理更新队列    if (updates) {        processQueue(this, updates)    }     // 更新 DOM    this._renderedChildren = nextChildren}function enqueue(queue, update) {    // 如果有更新,将其存入 queue    if (update) {        queue = queue || []        queue.push(update)    }    return queue}// 处理队列的更新function processQueue (inst, updateQueue) {    ReactComponentEnvironment.processChildrenUpdates(        inst,        updateQueue    )}

例 3:看下图

图 4-3 创建、移动、删除节点

可以看出在这个例子中,有新增的节点,还有需要删除的节点,具体怎么操作,请大胆的尝试一下吧

5. 源码

_updateChildren: function(nextNestedChildrenElements, transaction, context) {    var prevChildren = this._renderedChildren  // 旧集合    var removedNodes = {} // 需要删除的节点集合    var nextChildren = this._reconcilerUpdateChildren(prevChildren, nextNestedChildrenElements, removedNodes, transaction, context) // 新集合        // 如果不存在 prevChildren 及 nextChildren,则不做 diff 处理    if (!prevChildren && !nextChildren) {        return    }    var updates = null    var name    // lastIndex 是 prevChildren 中最后一个索引,nextIndex 是 nextChildren 中每个节点的索引    var lastIndex = 0    var nextIndex = 0    var lastPlacedNode = null        for (name in nextChildren) { // 对新集合的节点进行循环遍历        if (!nextChildren.hasOwnProperty(name)) {             continue        }        var prevChild = prevChildren && prevChildren[name]         var nextChild = nextChildren[name]        // 通过唯一的key判断新旧集合是否有相同的节点        if (prevChild === nextChild) {  // 新旧集合有相同的节点            // 如果子节点的 index 小于 lastIndex 则移动该节点,并加入差异队列            updates = enqueue(                updates,                this.moveChild(prevChild, lastPlacedNode, nextIndex, lastIndex)            )// 这是一种顺序优化手段,lastIndex 一直在更新表示访问过的节点一直在prevChildren最大的位置,如果当前访问的节点比 lastIndex 大,说明当前访问的节点在旧结合中就比上一个节点靠后,则该节点不会影响其它节点的位置,因此不插入差异队列,不要执行移动操作,只有访问的节点比 lastIndex 小时,才需要进行移动操作。             // 更新lastIndex            lastIndex= Math.max(prevChild._mountIndex, lastIndex)            // 将prevChild的位置更新为在新集合中的位置            prevChild._mountIndex = nextIndex        } else {            if (prevChild) {// 如果没有相同节点且prevChild存在                // 更新lastIndex                lastIndex = Math.max(prevChild._mountIndex, lastIndex)                // 通过遍历 removedNodes 删除子节点 prevChild            }            // 初始化并创建节点            updates = enqueue(                updates,                this._mountChildAtIndex(nextChild, lastPlacedNode, nextIndex, transaction, context)            )        }        // 进入下一个节点的判断        nextIndex ++        lastPlacedNode = ReactReconciler.getNativeNode(nextChild)    }    // 如果父节点不存在,则将其子节点全部移除    for (name in removedNodes) {        if (removedNodes.hasOwnProperty(name)) {            updates = enqueue(                updates,                this._unmountChild(prevChildren[name], removedNodes[name])            )        }    }    // 如果存在更新,则处理更新队列    if (updates) {        processQueue(this, updates)    }     this._renderedChildren = nextChildren}function enqueue(queue, update) {    // 如果有更新,将其存入 queue    if (update) {        queue = queue || []        queue.push(update)    }    return queue}// 处理队列的更新function processQueue (inst, updateQueue) {    ReactComponentEnvironment.processChildrenUpdates(        inst,        updateQueue    )}// 移动节点moveChild: function(child, afterNode, toIndex, lastIndex) {    // 如果子节点的 index 小于 lastIndex 则移动该节点    if (child._mountIndex < lastIndex) {        return makeMove(child, afterNode, toIndex)    }}// 创建节点createChild: function(child, afterNode, mountIndex) {    return makeInsertMarkup(mountIndex, afterNode, child._mountIndex)}// 删除节点removeChild: function(child, node) {    return makeRemove(child, node)}// 卸载已经渲染的子节点_unmountChild: function(child, node) {    var update = this.removeChild(child, node)    child._mountIndex = null    return update}// 通过提供的名称,实例化子节点_mountChildAtIndex: function(child, afterNode, index, transaction, context) {    var mountIndex = ReactReconciler.mountComponent(child, transaction, this, this._nativeContainerInfo, context)    child._mountIndex = index    return this._createChild(child, afterNode, mountIndex)}

https://muyiy.cn/question/

https://github.com/sisterAn/blog/issues/22

The End

如果你觉得这篇内容对你挺有启发,我想请你帮我三个小忙:

1、点个 「在看」,让更多的人也能看到这篇内容

2、关注官网 https://muyiy.cn,让我们成为长期关系

3、关注公众号「高级前端进阶」,公众号后台回复 「加群」 ,加入我们一起学习并送你精心整理的高级前端面试题。

》》面试官都在用的题库,快来看看《《

“在看”吗?在看就点一下吧